光刻机是科技半导体行业的皇冠,是芯片制造的重要设备,其内部结构精密复杂,决定了芯片的制造工艺。
晶圆台是光刻机关键部件之一。晶圆台的作用是生产过程中用于支承和固定晶圆片。热变化会引起材料膨胀的微小变化。随着时间的推移,这些热梯度和波动会产生这样一种情况:由于晶圆表面的不断加工,其结构位置会发生改变(通常称为边缘放置误差,或EPE)。为了解决这个问题,工程师们正转向面向增材制造的设计以及增材制造-3D打印,改进晶圆台的热管理性能,重新定义下一代晶圆工作台的架构。
值得关注的是,在下一代增材制造晶圆工作台部件的设计开发中,正在从人工设计向计算机生成(即创成式设计)和人工辅助设计(相对于计算机辅助设计)过渡。
当前,创成式设计和结构拓扑优化作为一种设计方法很容易理解,但是这种优化方法仍有许多独特的部分。独特的是拓扑优化作为大规模并行迭代循环的产品,其迭代过程包含了计算流体动力学模拟和面向增材制造的设计(DfAM)。
安世亚太近日通过案例,详细介绍了晶圆冷却台从概念设计到增材制造的实现过程。该案例将传统的冷却设计和创成式冷却设计进行了比较,并分析了如何影响晶圆台的冷却性能和设计工作。本期谷.专栏将分享这一设计案例。
图1 金属增材制造-3D打印使生产具有复杂集成冷却结构的晶圆台成为可能,大大提高了半导体的制造效率(来源:3D Systems)。
与许多工程学科一样,传统冷却流道的设计流程以试错为主。设计师绘制一个冷却设计,通过CFD模拟或原型测试对设计进行评估。测试可以是简单易行的,这取决于不同的应用场景。由于进度和成本的影响,完整的系统集成测试很难实现。
在设计冷却模式时,初始设计通常是基于经验规则,直接重复使用或重新缩放早期的设计,有了足够的经验,可以应用启发式设计规则来获得一个好的起点。很少有第一次就成功的情况,在失败之后,设计师必须继续进行迭代,这种设计方法只稍好于盲目设计。
传统的参数化CAD拥有许多设计选则框架,可以部分地实现自动化。一个中等经验的设计师需要调用一个设计表格,定义一组参数,如通道宽度、圈数等,这种方法允许通过参数变化对复杂的设计进行快速迭代。然而,采用这种设计方法,最终设计的性能与初始设计的好坏直接相关。由于不能保证这个初始设计足够接近期望的结果,所以即使采用了大量的参数优化,也不能保证能达到期望的结果。
例如,如果设计者从一个以平行冷却翅片为特征的设计开始,他们将永远无法在一些小的变化中产生除了该设计策略的派生之外的任何东西(图2)。这种方法通常会导致多个冗长且昂贵的迭代,并对设计时间引入显著的不确定性。
图2 Voronoi结构参数化模型及其在参数化变化中的限制 (来源:3D Systems)
如果设计时间很长,也可能对制造和生产产生重大影响;在迭代、知识和经验之间可能会有数周或数月的时间,从而不断消磨设计动力。此外,如果设计师没有考虑到制造方面的限制且分析是通过模拟完成的,那么就会有很大的风险(尽管做出了种种努力,但设计将无法制造)。然而,这些问题可以通过创成式设计和增材制造来解决。
美国心理学会和美国国立卫生研究院指出,人类只能同时考虑大约三到四个概念。自从有了零件,这种人类的自然局限性就一直是机械设计的动力。当设计功能至关重要的高科技零件时,对物理和功能限制以及可制造参数的考虑对人来说已经太多,整个团队的人员和专家必须参与其中,从而增加了设计成本和交货时间。
创成式设计是一个自动化的设计过程,需要最少的人工参与,以获得具有理想性能的高度优化的设计方案。通过利用物理模型、大量计算资源和最先进的优化技术。在人工智能技术的帮助下,创成式设计可以克服传统CAD设计方法的局限性,只需要在软件程序中设置约束条件等几个简单步骤,剩下的由创成式设计引擎完成。
创成式设计的出发点不是一个最佳的起始方案,而是对设计目标的描述,对可用设计空间的说明以及一系列的设计限制(如制造限制)。当使用创成式设计软件时,工程师不再是一个委员会中的设计师,而是虚拟设计团队的管理者。图3和图4显示了传统设计和创成式设计周期的比较以及人类参与的程度。
图3 上图:传统设计周期,从设计挑战到解决方案;下图:创成式设计周期,从设计挑战到最佳解决方案(来源:Diabatix)
图4 人类工程师和虚拟工程师在传统设计和创成式设计中的参与度比较(来源:Diabatix)
l 设置约束
开始创建设计时,需收集创建设计所需的所有信息。出发点是一组CAD模型,包括主要部件的几何形状,冷却剂可以流动的区域,以及可设计区域(图5)。一旦有了几何信息,就可以加载边界条件。类似于传统的CFD模拟,需要诸如材料特性、冷却剂特性和通过/失效的热图偏差等信息。
最后,需要设定目标和约束。这包括设计目标、系统约束和制造限制等信息。只要能够采用数学等效的目标和约束都可以被定义。例如,成本或制造时间的减少可以与温度、重量和压力等要求一起实现。图片
图5 上图:实体部分;中图:流体区域;下图:设计区域 (来源:Diabatix)
设计是一个迭代过程,不需要人的参与。该过程从成千上万的顺序执行的CFD模拟中收集数据,在每一步迭代过程中测量设计变更。除了CFD模拟的物理输入,这个过程中的每一步都会收集可制造性信息。由于计算量大,该过程是通过商业云服务执行的,使用几百个CPU并行。在这个过程中,冷却结构在指定的设计空间内逐步建立起来,该结构考虑了材料和冷却剂的物理特性。
在设计完成后,生成的设计被转换为通用CAD文件格式。因为模拟是创成式设计过程的一个组成部分,所以可以进行性能分析,这允许评估设计质量和揭示新的设计方向,如减少组件的包络。
本案例研究的主要目标是最大限度地提高晶圆台的热均匀性,同时不引起系统中的流体压力下降。先进冷却策略的一个额外好处是缩短热稳定时间,提高生产效率。
l 物理限制
几何学:
盘状热负荷,内径60毫米,外径300 毫米,厚度28毫米。
材料选择:
• 铝(AL6061-RAM2),由于其良好的导热性和适度的强度,适合这种应用。
• 通常情况下,晶圆台的物理负荷有限,它不需要非常高强度的材料。
• 像铜这样的延展性材料是不合适的。尽管铜合金具有很高的导热系数,但它们对于物理负载和高加速度来说太软了。
• 成本低、产能高、易于补充制造。从这个角度来说,含硅的铝合金适合此类应用,但从应用的角度来看,含硅对许多应用来说是不可接受的,这是因为会存在危险的流体反应或对硅污染晶圆产品的担忧。
l 操作限制
- 采用蒸馏水作为冷却剂,避免碱性腐蚀。
- 热源以大约10瓦的功率均匀地施加在整个表面上。
- 在入口处,温度为21℃时,体积流量固定为每分钟7.5升。
目标约束:
- 目标是最大限度地提高表面的温度均匀性,温度偏差需要低于0.1℃;
- 入口和出口之间的压力损失被设定为不超过70千帕;
- 为了确保设计能够被制造出来,设计师选择了在3D打印设备上进行PBF-LB增材制造的制造准则:即最大悬垂角为45°,最小壁厚为150µm。将平坦的大平面作为底部来进行打印(这在大型圆盘结构的AM中通常是首选)。这种打印方式会带来额外的好处,那就是在电火花线切割基板过程中会在底部形成一个平坦的控制面。
通过利用设计中的周期性,设计师将圆盘按45°进行切分,每个部分有不同的冷却通道,以方便比较性能(图6)。假设每个部分有一个入口和出口。在本案例中,分析仅限于两种传统设计和一种创成式设计。本案例研究采用了先进的Diabatix Cold-Stream®平台。这个平台是第一个提供流动和热部件创成式设计的平台。所有的设计和分析都由Diabatix®完成。
l 常规设计1
冷却翅片阵列
一种常见的冷却设计策略是“针状鳍片”,如图7所示。针状鳍片很容易设计,并拥有较大的热交换面积。然而,从增材制造的角度来看,这种设计有两个缺点。
首先,在金属增材制造中,鳍片之间的间隙不能超过4-5毫米,因为它们需要为冷却通道上方的封闭面提供足够的支撑。第二,由于没有利用第三个维度,设计还有改进空间。
在分析鳍片阵列的性能时,设计师注意到22千帕的压降低于设计目标。温度峰值为21.24℃,温度偏差不在0.1℃的约束范围内。冷却剂主要沿着最低的阻力方向(即入口和出口之间的直接连接)流动。因此,局部热点是难以避免的。可以想象这种设计的变种,它试图迫使流体在入口处发散,在出口处收敛。改变针状鳍片的密度可以帮助减少热点的发生,但也会增加压降。结果总结。
- 最高温度:(21.4℃)
- 温度偏差:(0.12℃) 不满足要求
- 压降:(22千帕) 满足要求
- 达到稳定温度的时间:(410秒)
图7 左图;针状鳍片设计示意图,右图;针状鳍片策略热图 (来源:Diabatix)
l 常规设计2
线性蛇形通道。经常采用的另一种更常见的设计策略是蛇形通道,如图8所示。在增材制造-3D打印元件中使用这种类型的通道,对通道的宽度有一个约束(与之前的针状鳍片设计一样,有最大桥接距离的限制)。因此需要一个相当长的通道来提供足够的表面覆盖。此外,经验表明,尖锐的往返式内部通道会使得在应用中保持理想的压力带来挑战。更具挑战性的是这种策略的粉末清除问题。
传统通道设计的仿真结果表明:最高温度只有21.18℃,并且0.09℃的温度偏差满足了设计目标,但是,正如预期的那样,压降为420千帕,远远超出了可接受的范围,这是长通道的一个直接后果。
采用更复杂的衍生策略可以帮助减少压降并保持高温扩散。其中一个方案是采用多个平行的蛇形通道,它们的每个通道的长度较短,而累积的通道面积与单通道相当,甚至更长。这有可能是好的设计,但需要更长的初始设计时间,并可能需要对进口分流和出口汇流策略进行长时间的迭代。结果总结如下:
- 温度偏差:(0.09℃) 满足要求
- 压降:(420 kPa) 不满足要求
- 达到稳定温度的时间:(409秒)
图8 左图;蛇形结构设计 右图;蛇形结构策略的热图(来源:Diabatix)
l 创成式设计
如前所述,创成式设计(图9)能够以最少的输入约束条件实现高度优化的几何结构,为具体问题创造了优化的、独特的解决方案。如果有足够的创成式设计经验,在解决参数足够多的具体问题时,设计师有可能开发出一种启发算法来解决结构设计问题。但是,在具有流体流动和精度限制的热管理案例中,正在产生一系列新的极其复杂的解决方案,这些解决方案几乎不可能采用人为创建的设计策略(同时保持计算机生成的解决方案所提供的重要技术优点)。
通过积极利用第三维度,一个复杂的网络流道将水流引向感兴趣的区域,同时这些结构是可以自支撑的,并遵守所要求的最小和最大的特征尺寸。这些形状远远超出了人类的工程能力,在这个实际的例子中, 我们将探索这种新方法的效率和细节。
Diabatix ColdStream结果的性能完全落在可接受的公差范围内,无论是压降还是温度均匀性。峰值温度为21.18℃,与翅片阵列相比,提高了25%,是三种设计中最低的。另外,温度偏差为0.1℃。与蛇形通道非常相似,但该设计的压降为40千帕,是蛇形通道压降的1/10。这种性能是通过交替使用具有高传热和高压降的较小通道,以及具有较低传热和低压降的较大通道实现的。
通过使用Diabatix ColdStream平台,设计过程准备和结果分析只需要几个小时的人工时间。作为回报,所产生的设计很容易超过传统设计。此外,可制造性也可以得到保证。
这样做的缺点是这个过程在计算上是很昂贵的。在写这篇文章的时候,即使在使用数百个CPU并行计算的情况下,这个问题也需要几个星期才能完全计算出来。然而,它不需要任何人工干预,也不需要事后的额外设计迭代。
这使得它成为缩短设计周期的一个非常有效的方法。与设计过程一样,制造过程也是在没有任何人员在场的情况下运行的,设计和制造可以通宵、周末和节假日期间运行。结果总结:
- 最高温度:21.18℃
- 温度偏差:(0.1℃) 满足要求
- 压降:(40千帕) 满足要求
- 达到稳定温度的时间:(381秒)
图9 上图:创成式设计;中图:创成式设计特写;下图:创成式设计策略的热图 (来源:Diabatix)
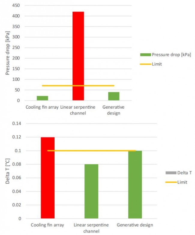
以上案例中,共研究了三种冷却策略:针状鳍片阵列、蛇形通道和Diabatix创成式设计。创成式设计方法得到了最优化的三维解决方案,它满足了整体温度均匀性约束、压降约束和金属增材制造约束。创成式设计组件的一个意想不到的好处是组件达到稳定温度所需的时间减少了29秒(图10)。这7%等待时间的减少可以直接转化为生产效率的提高,从而每天生产更多的晶圆产品。
图10 上图:压降性能比较;下图:温度性能比较(来源:Diabatix)
在设计阶段之后的一个典型的增材制造工作流程中,设计师开始进入到构建文件生成阶段。使用 3D Systems公司的3DXpert®综合增材制造软件(图11),进行了以下步骤。
- 用于制造的三维模型的定位和定向;
- 重新调整3D模型,以考虑到制造过程中发生的收缩;
- 在需要的地方添加余量;
- 添加支撑;
- 增材工艺仿真;
- 切片和路径规划;
- 输出制备文件包。
图11 3DXpert中的冷却策略示例(来源:3D Systems)
无论采用哪种增材制造软件,工作流程一般是相同的。然而,在具体实施过程中有一些独特的方面,需要进行一些说明。
在3DXpert中,切片和路径规划是根据选定的技术配置文件自动进行的。 对于标准用户,软件为每种材料提供了少量的默认配置文件,采用这些默认配置文件能够保证所打印的零件拥有较好的机械性能。同时,专家用户也可以选择调整和创建他们自己的技术档案,从而实现更高层次的优化,但这也会增加打印失败的风险。
在用户定义的打印区域中也可以进行灵活的定义。这些区域可以围绕关键特征(全三维)进行定义,并可以分配不同的打印配置文件。新颖的打印配置策略允许用户将约束条件应用于零件上的各个特征,因此在不同项目的独特要求下,都能实现速度、质量和准确性的最佳组合。
此外,完整的打印仿真技术是相当精确的,而且越来越强大的计算仿真工具可以在无需打印零件的情况下模拟打印结果。这大大增加了首次打印成功的可能性,减少了打印报废成本。通过利用3DXpert的集成增材制造技术,可以大幅减少试错成本和时间,快速成功制备出零件。
图12 通过金属增材制造制备的冷却策略示例(来源:3D Systems)
在金属增材制造中,激光粉末床熔融(PBF-LB)工艺通常只是生产过程的开始,零件还要经过多个后处理步骤。经常看到的处理是:
- 热处理,去除残余的热应力和/或优化材料的微观结构,以满足相关的应用。
- 去基板,线切割,用于精确切割;带锯,用于粗糙切割。
- 去除支承和喷丸处理,通常是一个手工过程,当前也逐渐有了自动化的流程。
- 表面处理,对这些高要求的零件通常采用化学抛光和机械磨光处理。
- 机械加工,通常采用高精度的数控加工设备,设计过程中适当的DfAM考量可以减少机加工成本。
- 清洗,洁净度要求高的零件可以进行清洗。
以上案例展示了冷却策略优化晶圆台的进展。新颖的创成式设计方法(使用Diabatix的 ColdStream平台)自动生成了最佳的自支撑冷却结构,降低了整体温差,将流体压力保持在系统要求的范围内,并使整个系统生产晶圆产品的周期缩短。
随着半导体设备制造商竞相满足对新设备的需求,通过相关软件工具实施功能优先的设计,出现了提高产品质量和性能以及优化供应链的新机会,这些优化的设计都可以通过金属增材制造和市场上的可用的材料来制备。完整解决方案供应商通过应用其丰富的实践经验,在这个行业的关键时期,可以显著减少试错成本,加快产品进入市场的时间。
谢琰军 工学博士 安世亚太仿真咨询专家
l 谷专栏 l
欢迎高校及科研机构、企业科学家加入谷专栏,与业界分享对推动增材制造发展起关键作用的共性基础科研与应用成果,欢迎扫描下方图片二维码提交您的信息。
白皮书下载 l 加入3D科学谷QQ群:106477771
网站投稿 l 发送至2509957133@qq.com
欢迎转载 l 转载请注明来源3D科学谷 l 链接到3D科学谷网站原文。










