从仿制到创新,除系统工程和TRIZ,还需先进信息和设计技术助力研发范式变革。
问题的提出:光栅单色器的狭缝组件
光谱仪器中,为了分析和检测物质,需要将不同波长的光谱通过光栅在空间展开形成光谱带,再通过狭缝截取出一定波长范围的单色光,这就是单色器(图1)。单色器的狭缝是一个关键组件,狭缝的开口平行性、对称性以及开闭的均匀性、狭缝宽度和分辨率等指标的精度直接影响单色器的光谱分辨率和/或空间分辨能力。
特别是最窄的狭缝是决定单色器分辨率的关键因素。为了适应不同的光谱带宽要求,狭缝的宽度需要在一定范围内可调;高端单色器的狭缝最小宽度通常小于0.02±0.002mm;狭缝开口的平行度、直线度也有很高要求;同时希望控制成本。
图1 光栅单色器原理图(图片来源:厦门大学林竹光)。来源:安世亚太
目前单色器普遍使用的狭缝组件有以下几种:一种是固定宽度狭缝,此类狭缝的特点是结构简单,成本低,但不能满足宽度可调节的要求;另一种是釆用多个固定宽度的狭缝,在使用过程中根据需要相互切换,其缺点可变档位少,当狭缝宽度小于0.1mm时,狭缝组件的加工或拼装质量难以保证。
技术难点主要在于保证最小狭缝的尺寸和形状精度。这个精度要求很难通过加工或拼装来达到,需要通过机电结合的方法来实现。通常的做法是通过高精度机构加上闭环伺服控制系统实现狭缝宽度的连续可变,可以满足技术指标的要求,但是成本很高。如何以低成本实现高精度要求,是本文面临的课题。从国外的一款高端产品中发现的可借鉴的机构,但只能看到机构,而隐藏在后面的控制系统是无法知晓的。
从拆解测绘到正向设计
即使是逆向仿制,水平也有高下之分。对原准产品的拆解测绘仿制是典型的低水平逆向设计活动(如图3红色箭头所示),仅由实物反推到图纸、反推到设计,而无需反求到原始需求。先不谈知识产权问题,单纯从技术上来看,对于纯机械装置,这种方法是可行的。
测绘仅能测得零件的实际尺寸,我们经常看到以这种方法绘制的模型图纸的尺寸是小数点后三位数的数值,测绘高手会圆整一下尺寸,并给出合理的公差。但公差如何给,绝对是个技术活(公差配合的精度很大程度上决定了零件的可靠性和使用寿命),这一步的逆向,正所谓知其然知其所以然。
对于单色器的狭缝组件,测绘可以建出与原准机构相同设计尺寸的模型,可以知道机构由什么组成,如何运动。仅此而已。至于具体通过什么方法得到仪器要求的精度是无法知道的。因此,第一级的逆向设计,测绘仿制,对单色器的狭缝组件来说不可行。
既然囫囵吞枣的抄不可行,不得不转向消化吸收的正向设计之路。由于和逃避技术风险的“原准法”目的不同,这里一定包含了反推到功能原理甚至原始需求的高水平逆向设计活动(如图3绿色箭头所示);如果还有消化吸收基础上的再创新,则是完整的正向设计子过程。
对单色器的狭缝组件,尝试理解其功能原理,走消化吸收再创新之路。
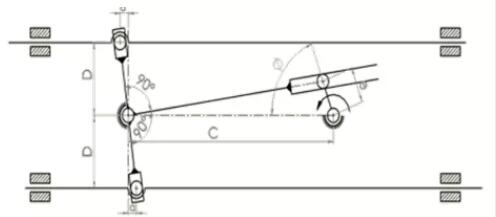
(1) 首先绘制出机构的原理图。
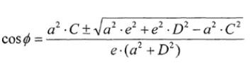
(2) 分析机构,找出机构的几何参数关系,列出机构方程:
(3) 分析机构的分辨率,即步进电机每走一步平移杆的移动距离,看是否满足获得高精度的基本条件,是则可继续。
(4) 研究机构精度。受传统CAD软件的限制,这步分析使用excel表进行,通过设定一些公差范围内的假设误差值,来计算机构的误差。因为要找出误差范围,需要假设很多组尺寸组合,这项工作很耗时。研究发现,普通加工精度的机构产生的误差会比设计要求高出两个数量级。
(5) 机构校正概念开发(正向设计)。这一步要研究有没有一种矫正方法能够使普通加工精度的机构实现系统的高精度。在头脑中构思过程:当前系统误差产生的原因是加工和装配误差;如果能够知道机构的实际尺寸,那么控制程序就可以按照实际机构的尺寸计算,就会消除系统误差;但是实际机构加工和装配误差不可能逐台测量;能否通过一组数来等效实际机构呢?
为了找到这个问题的答案,需要计算尝试。同样受限于CAD软件,没办法在CAD软件中直接研究,还是借助于excel表格。这一步的工作量更大,花费两个月时间,计算了很多表格(图5),终于找到了计算等效值的公式。
(6) 实际机构校正方法设计。这部分工作无法在传统CAD软件中直接完成。所以,笔者做了一套硬件校正系统(图6):把校正方法过程和公式编程写入芯片,通过读取执行机构运动的测量值,并由PCB板执行程序,计算校正值。这个过程中,需要机械设计人员与自动控制工程师反复交流,让他们理解这种校正方法。
反思项目设计过程:
用传统的正向设计方法,机械工程师用CAD手工建模,所谓参数化设计的功能实现其实很有限。对于机电一体化的复杂系统,虽然工程师可能有整体的设计概念和控制逻辑,但由于极少有工程师能够自己写代码,所以很难独立实现设计构想。
而且,机械工程师与控制工程师的交流有时很困难,导致项目进程很慢,有时甚至无法实施。如果有一种设计方法,能够让有想法的工程师方便地实现所有想法,将有助于提升研发效率。
传统设计方法把校正方法过程和公式编程写入芯片,利用硬件进行校正,实时性、灵活性和通用性较差。要是能用软件算法进行实时校正,将大大提升研发效率。
用创成设计和数字孪生重构正向设计过程
数字化转型浪潮下的各种范式转移,例如复杂产品和系统研发范式从传统系统工程向MBSE的转移,以及作为第四次工业革命通用目的技术——数字孪生体的兴起,这些范式转移的共同特点是,是通过数字化和模型化,以更少的能量,以信息换能量或信息换物质的方式来减少和消除不确定性,进而提高效率。
基于传统系统工程过程的正向设计和正向研制的转型升级也是如此,需要用先进的数字化和模型化的信息技术和设计技术进行重构。创成式设计和数字孪生体技术正是这样的使能技术。
创成设计是一种通过设计算法生成结构或几何模型的设计方法。它利用基于模型描述的系统属性(如功能、性能、几何和空间关系、可调参数等)建立计算机可自动执行的设计逻辑或规则,以自动推理并映射生成为系统显性的结构或几何模型。
创成设计模型的选择方法:通过指定设计目标并利用仿真及优化算法进行自动迭代来寻找到最优模型,或者通过设计师与计算机的交互在可变范围内调整参数或关系,从而探索更多的设计可能性(设计空间)并主观选择。
数字孪生体是现有或将有的物理实体对象的数字模型,通过实测、仿真和数据分析来实时感知、诊断、预测物理实体对象的状态,通过优化和指令来调控物理实体对象的行为,通过相关数字模型间的相互学习来进化自身,同时改进利益相关方在物理实体对象生命周期内的决策。
参考GB/T 33474-2016和ISO/IEC 30141:2018两个物联网参考架构标准以及ISO 23247(面向制造的数字孪生系统框架)标准草案,安世亚太在《数字孪生体技术白皮书(2019)》中给出了数字孪生系统的通用参考架构(图7)。参考这个通用架构,图8给出了单色器狭缝组件的数字孪生系统架构。
图7 数字孪生系统的通用参考架构。来源:安世亚太
基于这一新架构,本文重构单色器狭缝组件的正向设计过程如下:
(1) 建立机构原理动态模型
(2) 研究真实机构精度。真实机构误差来源于加工误差和装配误差,低成本加工可实现的普通加工精度±0.1mm。创成式设计工具中,可以通过公差范围内的随机数模拟加工和装配误差,建立真实机构的抽象模型,从而分析系统误差范围。
(3) 校正方法的概念验证。思考过程同传统正向设计方法,现在用创成设计和数字孪生体来找到最优的实际机构尺寸等效值:
a. 找到最优的校正值。借助智能搜索最优解的Galapagos算法自动查找最优校正值,对于每一个尺寸组合,搜索最优值的时间不到1分钟。
b. 验证校正后的机构系统误差是否满足设计目标要求。可以直观地看到,经校正的系统满足目标精度要求,说明概念方法是正确的。
(4) 概念方案设计
设计目标是自动地对每一台实际机构进行校正,使其达到系统精度要求。下面要把实际机构的工作过程过程和参数关系模型化。
a. 明确总体过程即目标:实际机构是根据目标狭缝宽度Tg来确定电机轴的转角ϕ,控制电机电机驱动机构运动,使狭缝宽度达到目标值,误差不超过±0.002mm。
b. 分析参数的可获得性:几何参数C、e、D1、D2未知,且难以测量;但固定狭缝片的平移杆的移动可测量。
c. 建立参数关系模型,实际机构的amax1、amax2是直接读取数字化仪表的测量值得到的:
d. 建立矫正值计算的测量模型,其中的a1、a2通过高精度数字化仪表测量得到,这些测量值被实时地传输给创成式设计方法创建的数字孪生体。
e. 验证经校正的数字孪生体模型精度。
(5) 将数字孪生体的校正参数写入物理实体模型,从而实现真实机构的精度校正。
结论
本案例给出了经创成设计和数字孪生重构的正向设计过程,验证了数字孪生系统通用参考架构中数字孪生体、测量与控制实体、现实物理域以及用户域之间的信息传递和互动机制,展示了数字孪生技术和创成设计方法的潜力。
创成式设计通过编程进行设计,可以方便地调用各种智能算法(如机器学习、AI、仿生、进化、力学解算器等)帮助设计、塑形、优化和创新;程序模块的输入输出都是数据,易与硬件、软件、互联网交互,实现机电一体化产品,数字孪生系统,物联网相关产品的设计;还可以结合VR/AR技术实现辅助设计和辅助商务。本案例验证的方法和流程具有广阔的应用前景。
安世亚太公司先进设计与制造高级技术专家、创新咨询专家。机械电子工程专业工学硕士,中国机械工程学会 注册机械设计工程师,高级工程师。
段海波
安世亚太公司咨询总工程师,数字孪生体实验室北美分部主任。
INCOSE CSEP (2017),MATRIZ三级认证 (2005);ISO/TC184/SC4、SAC/TC159/SC4和SAC/TC28/SC7委员。
白皮书下载,加入3D科学谷产业链QQ群:529965687
网站投稿请发送至2509957133@qq.com
欢迎转载,长期转载授权请留言
























