以下文章来源于复合材料力学 ,作者阿蔡
高尺寸热稳定性是任何基础平台结构的关键特性,在周围的温度可能有很大波动时,依然可以保持自身尺寸稳定,连接高精度光学或机械设备,如成像设备、卫星天线、热传感器等。为了获得良好的尺寸热稳定性,人们认识到,接近零值的有效热膨胀系数(CTE)的基础平台结构是非常可取的。
基础平台的有效CTE接近于零的要求通常通过使用双材料组件制造的宏观晶格结构设计来满足。所采用的双材料通常是两种不同的各向同性聚合物或金属。然而,这种双材料、宏观晶格结构的几个重要方面还有待详细研究。首先是制造这种平面晶格结构的便捷性和成本,通过熔丝成型(FFF)方法的3D打印的最新发展表明,这种3D打印在这些方面具有显著的优势。其次,各向异性复合材料,如连续碳纤维增强聚合物,与各向同性的复合材料相比,可以提供更好的力学性能。此外,碳纤维的CTE为负,当碳纤维存在于通常具有正CTE的聚合物基体中时,碳纤维聚合物基体复合材料原则上可以在纤维轴向上具有几乎为零的CTE。事实上,一些作者已经报道了关于生产CTE为零或接近于零的纤维-聚合物复合材料所需的纤维结构的理论研究。因此,碳纤维聚合物基复合材料似乎是生产部件非常有用的材料,可以设计成具有良好的热尺寸稳定性。
2022年,复合材料TOP期刊《Composites Science and Technology》发表了悉尼大学和南方科技大学在3D打印碳纤维增强复合材料晶格结构方面的研究工作,论文标题为“3D printed carbon-fibre reinforced composite lattice structures with good thermal-dimensional stability”。
论文链接:
https://doi.org/10.1016/j.compscitech.2022.109599
研究旨在利用基于熔丝成型(FFF)方法的3D打印技术,设计和制造具有连续或短碳纤维复合材料的双复合材料平面晶格结构的基础平台结构。通过实验结果验证了平面晶格的数值有限元分析,并描述了它们的热变形行为。然后将评估可能用于制造平面晶格的各种纤维结构的影响。因此,其目的是确定一种3DFFF打印平面晶格结构的设计,采用基于碳纤维增强聚酰胺复合材料的双材料制造,具有非常好的热尺寸稳定性。
01 实验研究
晶格构型设计
基于文献中报道的双材料三角形CTE机制设计,设计了一种双复合材料平面晶格结构,作为具有相对低有效CTE的潜在基础平台结构。所研究的主要设计如图1所示。平面晶格由连续碳纤维(CCF)增强聚酰胺6 (PA6)的中心交叉晶格组成,称为CCF/PA复合材料,以及短碳纤维(SCF)增强聚酰胺6 (PA6)基体的四个外带组件,称为SCF/PA复合材料。中心交叉晶格和四个外带组件显然都需要连接在一起,并采用了相对紧密的配合联锁机制,如图1所示。
材料和FFF工艺
为了研究使用双复合材料方法的任何有益效果,我们也使用3DFFF打印工艺制作了一些平面晶格,但现在对所有不同的组件只使用SCF/PA复合材料,即中心交叉晶格和四个外带组件。对于这种SCF/PA平面晶格,使用[45°/135°]9体系结构沉积了18层SCF/PA复合材料。因此,对于所有使用FFF打印工艺制造的3D打印部件,沉积了18层适当的复合材料,使每个部件的最终厚度名义上为2.25 mm。图2为45°和135°铺层示意图。
图 2 3D打印CCF/PA中心交叉晶格采用45°/135°方法的沉积轨迹
CTE测量和DIC摄影分析
为了测量由形成平面晶格的部件的温度升高引起的位移,即横向运动,采用了数字图像相关(DIC)技术。为了进行DIC分析,在平面晶格表面喷上白色涂层,然后应用均匀的黑点图案,这些黑点是使用压印油墨覆盖的辊涂的。DIC摄像机可以捕捉到这些黑点,以确定平面晶格外带组件上标记的各个位置的位移。图3为测量热诱导位移的实验装置。
02 数值分析
有限元分析(FEA)数值模型
利用Abaqus标准代码建立了一个有限元分析(FEA)数值模型,计算了复合平面晶格结构的预测位移作为测试温度的函数。本质上,平面晶格采用18层的连续壳单元进行建模,如图4所示。这些单元是8个节点的、热耦合的、四边形的、平面内的简化集成连续壳(SC8RT),在三维实体单元上指定,但在运动学和本构行为方面与传统的壳元素相似。这导致了堆叠复合层的精确模型,并允许通过厚度响应确定。图4为中心交叉晶格和外带组件的有限元网格。
图 4 (a)CCF/PA中心交叉晶格的光学显微图和相应的模型,(b)前视图显示了中心交叉晶格和外带组件的有限元网格
CCF/PA和SCF/PA复合材料的力学性能和热性能
进行数值分析所需的单向CCF/PA和SCF/PA复合材料的力学和热性能要么直接测量,要么从文献中获取。所使用的值如下表所示。
03 结果与讨论
测量和预测的平面晶格结构中的热位移uxx
图5显示了一个由CCF/PA中心交叉晶格组件和四个SCF/PA外带组件组成的双复合平面晶格的结果。而在图6中,复合平面晶格由一个SCF/PA中心交叉晶格组件和四个SCF/PA外带组件组成。从这些结果中得出了几个有趣的观点。
首先,在这两个图中,实验结果和数值模拟结果之间有很好的一致性。这种良好的一致性在图6中得到了最清楚的显示,因为对于这种单独使用SCF/PA复合材料制造的平面晶格,外带组件的热位移Uxx明显更大。
第二,从图5和6中可以看出,随着温度的升高,图6所示的SCF/PA平面晶格的SCF/PA平面晶格比中心交叉晶格的CCF/PA复合材料和SCF/PA复合材料的平面晶格大。因此,与单独的SCF/PA平面晶格相比,具有CCF/PA中心交叉晶格组件和四个SCF/PA外带组件的平面晶格的热诱导变形显著降低。事实上,对于使用CCF/PA和SCF/PA材料的双复合材料的FFF工艺进行三维打印的平面晶格,热变形几乎可以忽略不计。
图 5 由一个CCF/PA中心交叉晶格组件和四个SCF/PA外带组件组成的双复合平面晶格结构的热位移Uxx:(a)实验测量和(b)数值预测。
图 6 由一个SCF/PA中心交叉晶格组件和四个SCF/PA外带组件组成的复合平面晶格结构的热位移Uxx:(a)实验测量,(b)数值预测。
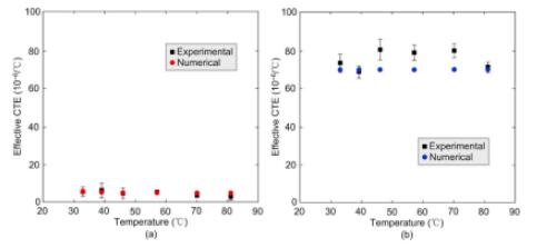
平面晶格结构的热膨胀系数
比较本研究中考察的两种复合平面晶格,使用CCF/PA中心交叉晶格组件和四个SCF/PA外带组件的平面晶格的有效CTE,见图7(a),约仅为仅使用SCF/PA组件的平面晶格的6.5%。这些值再次清楚地表明,与单独使用SCF/PA复合材料相比,双复合材料平面晶格的尺寸热稳定性显著增强。
图 7 有效CTE复合平面晶格结构测试温度的实验和数值结果:(a)采用CCF/PA中心交叉晶格组件和4个SCF/PA外带组件,(b)采用SCF/PA中心交叉晶格组件和4个SCF/PA外带组件。
平面晶格结构中的热致应变和应力
首先,在参考温度为20摄氏度下,没有明显的应变和应力,见图8(a)。如图8(b)所示,在81摄氏度下时,由一个CCF/PA中心交叉晶格组件和四个SCF/PA外带组件组成的平面晶格比单独使用SCF/PA复合材料的平面晶格具有更高的应力,见图8(c)。事实上,这一结果是可以预料的,因为由一个CCF/PA中心交叉晶格组件和四个SCF/PA外带组件组成的双复合平面晶格受到约束,从而产生较小的热位移,从而产生低效的有效CTE。然而,与单独使用SCF/PA复合材料制造平面晶格相比,这导致了中心交叉晶格中的应力积累,从图8(b)和(c)可以看出。
图 8 在复合材料的第一层的x方向上的热应变、εxx和应力云图:(a)一个CCF/PA中心交叉晶格组件和四个SCF/PA外带组件在20摄氏度时时,(b)一个SCF/PA中心交叉晶格组件和四个SCF/PA外带组件在81摄氏度时,(c)即仅使用SCF/PA复合材料在81摄氏度时。
双复合材料的方法
在基于CCF/PA中心交叉晶格和四个SCF/PA外带组件的双复合材料方法的平面晶格设计中,有两种机制使这种双复合平面晶格具有良好的热维稳定性。第一种机制是使用CCF/PA复合材料来制造中心交叉晶格。从本质上说,这一机制源于热膨胀,即通过使用CCF/PA复合材料制造的中心交叉晶格的交叉对角线腿调节了温度升高时发生的热膨胀,与SCF/PA相比该复合材料具有相对较低的CTE。因此,平面晶格结构的有效CTE值相对较低。此外,还有第二种机制是由于用于中心交叉晶格的两种不同复合材料之间的相互作用,这进一步降低了双复合平面晶格的热膨胀,从而降低了CTE的值。
研究结果首次证明,使用FFF方法的三维打印能够制造基础平台结构,基于碳纤维增强聚酰胺复合材料平面晶格可以实现非常良好的尺寸热稳定性。需要注意的是,本研究的一个主要目的是从二维的角度提出并发展一种具有良好尺寸热稳定性的双复合复合晶格,而不考虑需要考虑平面外加载条件的第三维。目前正在进行对这种使用FFF工艺制造的双复合材料结构的研究,目的是优化设计,从三维的角度获得非常好的热维稳定性。
知之既深,行之则远。基于全球范围内精湛的制造业专家智囊网络,3D科学谷为业界提供全球视角的增材与智能制造深度观察。有关碳纤维复合材料增材制造的更多分析,请关注3D科学谷将于近期发布的《3D打印与碳纤维复合材料白皮书》。
白皮书下载 l 加入3D科学谷QQ群:106477771
网站投稿 l 发送至2509957133@qq.com
欢迎转载 l 转载请注明来源3D科学谷 l 链接到3D科学谷网站原文。













